PESSOA TEM ATIVIDADE CEREBRAL APÓS MORTE
Os cientistas ainda não sabem como explicar o fenômeno
![]() |
| Morte: a pessoa não apresentou pulso e sua pupila não reagiu à luz (Reprodução/Thinkstock) |
O indivíduo, que não teve seu nome revelado, teve seu suporte de vida desligado ao mesmo tempo que outras três pessoas. Os quatro pacientes foram considerados mortos pelos médicos, pois não tinham pulso e suas pupilas não respondiam ao estímulo luminoso. No entanto, um deles continuou a apresentar ondas cerebrais do tipo delta – similares às que temos durante o sono profundo.
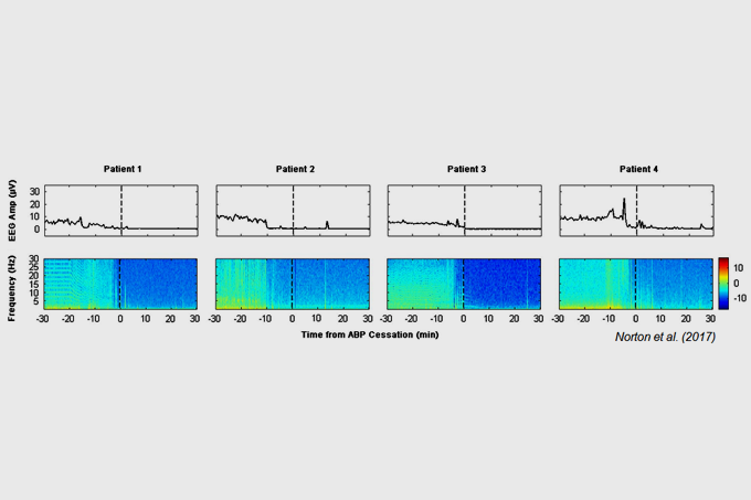
A imagem abaixo mostra os eletroencefalogramas frontais (EEG) dos quatro pacientes. O momento da morte clínica do indivíduo, ou quando seu coração parou após o suporte ser desligado, é caracterizado pelo número zero.
Os médicos também notaram que os registros eletroencefalográficos dos quatro pacientes mostraram poucas semelhanças antes e depois de eles terem sido declarados mortos. “Houve uma diferença significativa na amplitude do EEG entre o período de 30 minutos antes e cinco minutos após a pressão arterial cessar.”
Os cientistas não sabem explicar por que isso aconteceu. No entanto, eles se mantêm céticos com relação aos resultados, pois é uma amostra única. Além disso, os pesquisadores também não descartam a hipótese de que houve algum problema com a máquina que fez o exame – apesar de ele não ter mostrado sinais de funcionamento.
Como existem poucos estudos sobre o funcionamento do cérebro após a morte, os médicos tentaram achar alguma relação entre o caso e um fenômeno chamado de “ondas de morte”. O evento foi observado quando ratos, 50 segundos após serem decapitados, apresentaram uma rápida onda em seus cérebros. Isso pode sugerir que coração e cérebro seguem caminhos diferentes quando uma criatura falece.
No entanto, os médicos não encontraram relação entre os casos da pessoa e do rato. “Não observamos nenhuma onda delta dentro de um minuto após a parada cardíaca em qualquer um de nossos quatro pacientes”, relatam no estudo.
Desse modo, ainda não há uma explicação para o novo fenômeno. Essa não é a primeira vez que cientistas não conseguem entender porque algumas partes do corpo reagem de certas maneiras após a morte. Uma pesquisa de 2016 revelou que mais de mil genes ainda funcionavam (e até aumentaram de atividade) vários dias depois do falecimento de pacientes.
Tube News



Nenhum comentário
Deixe sua opinião, sempre com respeito: